Notice
Recent Posts
Recent Comments
Link
| 일 | 월 | 화 | 수 | 목 | 금 | 토 |
|---|---|---|---|---|---|---|
| 1 | ||||||
| 2 | 3 | 4 | 5 | 6 | 7 | 8 |
| 9 | 10 | 11 | 12 | 13 | 14 | 15 |
| 16 | 17 | 18 | 19 | 20 | 21 | 22 |
| 23 | 24 | 25 | 26 | 27 | 28 | 29 |
| 30 |
Tags
- 선형판별분석
- 알고리즘대회
- 2018
- chapter02
- CH01
- Perceptron Convergence theorem
- falsePosition
- 알고리즘
- undirected graphical model
- 델타 rule
- 이것이 MySQL이다
- 1차예선
- 로지스틱 회귀
- chapter01
- graphical models
- SCPC
- vector미분
- Fisher discriminant analysis
- 5397번
- 인공지능
- 개발순서
- 선형분류
- directed graphical model
- bisection
- secant
- Numerical optimization
- 근구하기
- 스터디
- MySQL
- 자바ORM표준JPA프로그래밍
Archives
- Today
- Total
computer_study
[재귀함수] BAEKJOON ' 7490 '번 '0 만들기 '문제 (C++/python) 본문
문제 : www.acmicpc.net/problem/7490
7490번: 0 만들기
문제 1부터 N까지의 수를 오름차순으로 쓴 수열 1 2 3 ... N을 생각하자. 그리고 '+'나 '-', 또는 ' '(공백)을 숫자 사이에 삽입하자(+는 더하기, -는 빼기, 공백은 숫자를 이어 붙이는 것을 뜻한다). 이��
www.acmicpc.net
-
문제 해결 아이디어
1. 주어지는 자연수가 3이상 9 이하로 적은 수 이므로, 완전 탐색을 사용한다.
2. 정답을 저장 할 배열을 선언하고, 조건(연산 결과가 0)이 만족하면, 값을 출력 또는 저장한다.
-
python
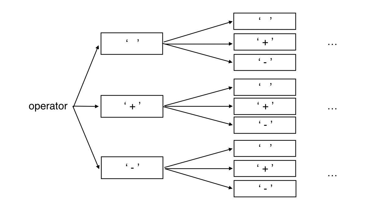
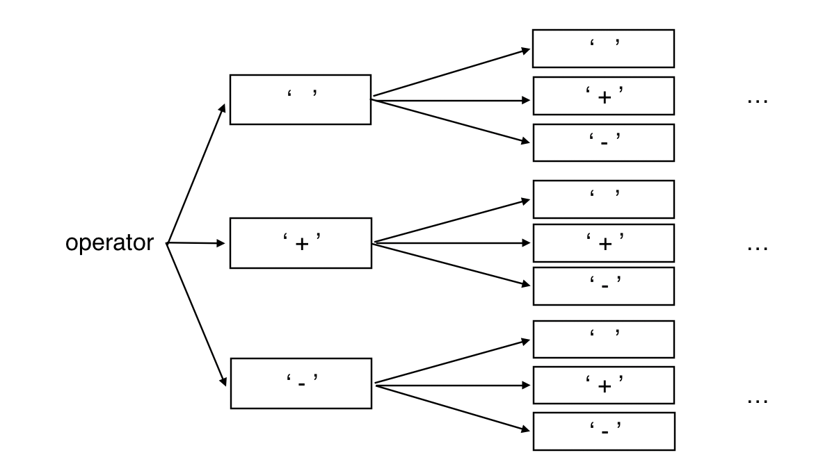
연산자만을 저장하는 배열과 수를 저장하는 배열을 따로 선언한다.

연산자를 이용한 모든 경우의 수를 찾고, 숫자 사이사이에 대입해 결과를 모두 계산한다.


import copy
def recursive(arr, n): # 연산자가 가질 수 있는 모든 경우의수
if len(arr) == n:
operators.append(copy.deepcopy(arr)) # operator list에 arr내용을 복사하여 넣는다.
return
arr.append(' ')
recursive(arr, n)
arr.pop()
arr.append('+')
recursive(arr, n)
arr.pop()
arr.append('-')
recursive(arr, n)
arr.pop()
test_case = int(input())
for _ in range(test_case):
operators = []
n = int(input())
recursive([], n-1)
all_int = [i for i in range(1, n+1)] # 1 ~ n 수 저장
for operator in operators:
string = "" # string에 연산식을 저장한다.
for i in range(n-1):
string += str(all_int[i]) + operator[i]
string += str(all_int[-1])
if eval(string.replace(" ", "")) == 0: # eval함수를 사용하여 연산식을 바로 계산한다.
print(string) # 연산 결과가 0이면 식을 출력한다.
print()
-
c++
계산 결과값 (result)과 그 내용을 계속 다음 단계로 넘기고, 마지막 단계에 result값이 0이라면 그 내용을 출력해준다.

#include "iostream"
#include "cstdlib"
#include "vector"
using namespace std;
int N;
void calculate(int n, int result, vector<char> v){
if(n == N){ // 입력한 값까지 모두 확인
if(result == 0){ // 그때의 result가 0이라면 출력
for(int i=0 ; i< v.size() ; i++){
printf("%c",v[i]);
}
printf("\n");
}
return;
}
// 공백 연산자
vector<char> v1 = v;
v1.push_back(' ');
v1.push_back(n +1 +'0'); // int형인 n+1을 char형으로 바꾸는 방법
int result_space = result;
if(v.size() > 2){ // 입력받은 v의 크기가 2보다 작으면 처음 1만 입력됐을 때이다.
int tmp = v.size()-2; // 현재 수의 부호를 담고있는 index를 저장한다.
if(v[tmp] == '+'){ // 현재 수가 양수일 경우
result_space = result- n + (10*n + (n+1));
calculate(n+1, result_space, v1);
}
else if(v[tmp] == '-'){ // 현재 수가 음수일 경우
result_space = result+ n - (10*n + (n+1));
calculate(n+1, result_space, v1);
}
}
else{ // 현재 수가 1이므로, result로 12를 넘겨준다.
calculate(n+1, 12, v1);
}
// '+' 연산자
vector<char> v2 = v;
v2.push_back('+');
v2.push_back(n +1 +'0');
calculate(n+1, result + n+1, v2);
// '-' 연산자
vector<char> v3 = v;
v3.push_back('-');
v3.push_back(n +1 +'0');
calculate(n+1, result - n-1, v3);
}
int main(){
int test_case;
scanf("%d",&test_case);
while(test_case){
scanf("%d",&N);
vector<char> v;
v.push_back('1');
calculate(1, 1, v); // 초기에 1을 넣어두고 시작한다.
printf("\n");
test_case--;
}
return 0;
}
ASCII순서대로 출력하기 위해서, 공백 연산자를 가장 먼저 수행하고, 그 다음 '+', '-'를 차례로 수행한다.
char형 vector에 int를 넣기 위하여 push_back시 '0'을 더해준다.
'알고리즘 > 문제풀이' 카테고리의 다른 글
| [탐색] BAEKJOON '1568'번 '새'문제 (C++/python) (0) | 2020.08.11 |
|---|---|
| [탐색] BAEKJOON '1543'번 '문서 검색'문제 (C++/python) (0) | 2020.08.11 |
| [재귀함수] BAEKJOON '1074'번 'Z'문제 (C++/python) (0) | 2020.08.07 |
| [재귀함수/DP] BAEKJOON '2747'번 '피보나치 수 '문제 (C++/python) (0) | 2020.08.07 |
| [정렬/counting sort] BAEKJOON ' 10989'번 '수 정렬하기3 '문제 (C++/python) (0) | 2020.08.07 |
Comments