| 일 | 월 | 화 | 수 | 목 | 금 | 토 |
|---|---|---|---|---|---|---|
| 1 | ||||||
| 2 | 3 | 4 | 5 | 6 | 7 | 8 |
| 9 | 10 | 11 | 12 | 13 | 14 | 15 |
| 16 | 17 | 18 | 19 | 20 | 21 | 22 |
| 23 | 24 | 25 | 26 | 27 | 28 | 29 |
| 30 |
- 델타 rule
- bisection
- 근구하기
- 5397번
- MySQL
- 인공지능
- 로지스틱 회귀
- 알고리즘
- 알고리즘대회
- CH01
- chapter01
- Perceptron Convergence theorem
- Fisher discriminant analysis
- 선형분류
- Numerical optimization
- 2018
- vector미분
- undirected graphical model
- SCPC
- graphical models
- secant
- falsePosition
- 이것이 MySQL이다
- 자바ORM표준JPA프로그래밍
- 개발순서
- chapter02
- 1차예선
- directed graphical model
- 스터디
- 선형판별분석
- Today
- Total
computer_study
[인공지능] Nearest neighbor methods(이웃 알고리즘), KNN 본문
Nearest neighbor mothod란?
학습과 분류 과정 중 하나로써, 현재까지의 training data가 존재하고 새로운 data x가 주어졌을 때, x에 대한 결과값을 x에 가장 가까운 data들을 이용하여 구하는 방법이다.


새로운 데이터와 가장 가까운 i번째 data를 찾아서, i번째x의 label(yi)에 따라 새로운 데이터의 label을 정한다.
이는 분류가 Classification으로 이루어지고 있는 경우와 Regression으로 나누어지고 있는 경우로 나누어볼 수 있다.
Classification

xnew의 위치가 노란색 부분에 위치한다면, y(xnew)는 class3으로 정할 수 있다.
Regression

x_new의 위치가 다음과 같다면 xnew의 y값은 y2로 결정된다.
k-Nearest neighbor method(최근접 이웃 알고리즘, KNN)
가장 가까운 1개의 data를 보는 것이 아니고, 가장 가까운 k개의 data를 본다. 이를 사용하면 보다 안정적으로 data를 분류할 수 있게된다.
Classification

y값이 근접 값들의 다수결(majority)에 의해 정해진다.
k=3일 경우, 위 그림에서 실선이 boundary로, 빨간 삼각형이 2개, 파란 사각형이 1개 이기 때문에, 초록 원은 빨간 삼각형이 된다.
k=5일 경우, 위 그림에서 점선이 boundary로, 빨간 삼각형이 2개, 파란 사각형이 3개 이기 때문에, 초록 원은 파란 사각형이 된다.
Regression
새로운 data 가까이에 i_1 ~ i_k 번째의 data가 존재한다면

주변 k개의 data의 y값들의 평균이 새로운 y값이 된다.
Bayes Optimal Classifier
새로운 data에 대해 가장 알맞는 예측을 하는 확률 적 모델이다.

p1과 p2는 각각 class1, class2에 대한 density function(확률 밀도 함수)이다.
새로운 데이터 xnew가 들어왔을 때, p1의 확률이 더 높다면 class1, p2의 확률이 더 높다면 class2로 분류된다고 하자.

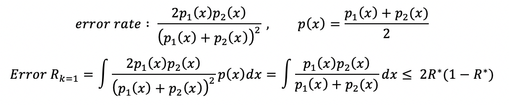
이 값들은 모두 확률로 정하기 때문에, p1의 확률이 높지만 실제 값은 class2이거나, p2의 확률이 높지만 실제 값은 class1인 경우도 존재한다. 이러한 경우의 error는 각각 다음과 같다.

위 error를 바탕으로, 전체 확률 p(x)에 대한 Risk(R)의 expectation 을 구해보면

(R=integral(error_function * p(x))로 생각해도 좋을 듯 하다. 아래 k-nearest neighbor classification과 비교.)
이때, 이 R값을 "bayes optimal error"라고 부른다.
일반적인 경우, 데이터가 들어오면 그로부터 p1, p2 함수를 구하고 그를 이용해 classification한다.
bayes optimal classifier은 p1, p2함수를 정확히 알고있는 상태에서 classification한다. 결국, 이때가 가장 정확하게 p1,p2를 예측하여 classification한 것이기 때문에 error가 가장 적은 경우고, optimal하다고 할 수 있다.
일반적인 classifier은 최대한 bayes optimal error에 가깝게 만드는 것이 목표라고 볼 수 있다.
특징
데이터의 개수가 무수히 많아지면(∞) xNN(nearest neighbor data)는 xnew에 uniform하게 가까워 진다.
uniform하게 가까워진다는 의미는 xnew로부터 가장 먼 nearest data조차도 xnew와 가깝게 된다. (같다고 봐도 무방 할 정도)
error rate = (x가 class1일 확률) * (x_NN이 class2일 확률)+(x가 class2일 확률) * (x_NN이 class1일 확률) 로 본다면

k-Nearest neighbor classification사용 시 Error
주어진 데이터가 무수히 많고, nearest방법을 사용한다면, 그때의 error값은 다음과 같다.

즉, k=1일 때 error는 optimal한 bayes error보다 2배정도만 나쁘게 되고, 이는 매우 근사치로 예측했다는 것이다.
k값이 커질수록 error는 줄어들게 되고, k가 ∞까지 된다면(data수 보다는{" 적다) R은 R*과 같게된다.

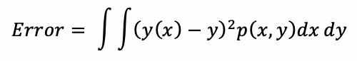
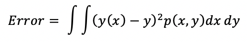
Regression 사용 시 Error
regression방식을 사용했을 때, 최선의 결과를 낼 수 있는 optimal 값을 얻기 위해선, p(x,y) (density function)를 알고 있다는 것을 전제로 한다. density function을 알고있으므로, 그 density function들의 expectation값을 y라 하고, 그들을 모두 연결 한 함수를 y(x)라 했을 때

error를 구하기 위해, 오차의 제곱에 대해 평균을 취하는 방법인 Mean Square Error(MSE)를 사용하면

다음과 같은 식을 만들 수 있다. ( y(x)는 prediction function, y는 p에 의해 realized된 값이다. ) 이 식을 변경 후 정리하면

y(x)가 prediction 함수이기 때문에, error값에 영향을 미치는 것이 y(x)인데(우리가 control할 수 있는 값이다), 두 번째 항에 y(x)가 존재하지 않기 때문에 두 번째 항은 더이상 줄일 수 없는 값이다. 또한 첫째 항은 0이상의 값이다.
따라서 Error가 최소가 되기 위해선 y(x) = E[y|x]인 경우이고, 그때의 Error값이 optimal한 Error가 된다.

'학교수업정리 > 인공지능' 카테고리의 다른 글
| [인공지능] cover's theorem, Kernel methods (1) | 2020.11.24 |
|---|---|
| [인공지능] Optimization with constraint, Large margin methods (0) | 2020.10.14 |
| [인공지능] Perceptron Convergence theorem (0) | 2020.10.06 |
| [인공지능] Fisher Discriminant Analysis(선형판별분석) (0) | 2020.10.04 |
| [인공지능] Linear classifier(선형분류), Logistic regression (Numerical optimization) (0) | 2020.09.10 |